二叉树中的最大路径和
力扣 124. 二叉树中的最大路径和
题目说明
路径 被定义为一条从树中任意节点出发,沿父节点-子节点连接,达到任意节点的序列。同一个节点在一条路径序列中 至多出现一次 。该路径 至少包含一个 节点,且不一定经过根节点。
路径和 是路径中各节点值的总和。
给你一个二叉树的根节点 root ,返回其 最大路径和 。
提示:
- 树中节点数目范围是
[1, 3 * 10^4] -1000 <= Node.val <= 1000
示例
示例 1:
1 | 输入:root = [1,2,3] |
示例 2:
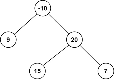
1 | 输入:root = [-10,9,20,null,null,15,7] |
笔者理解
此题是一道二叉树算法问题,在力扣题库中被定义为困难题。
解法
当笔者阅读完此题后,发现我们可以递归尝试链接路径,并将分支总值较大的分支传回给上级,让我们来看看具体如何实现的吧。
实现
1 | /** |
时间和空间效率还行,可见此解法还比较适合此题。
总结
本题是今天的一题,难度是为困难,感兴趣的朋友都可以去尝试一下,此题还有其他更多的解法,朋友们可以自己逐一尝试。
本博客所有文章除特别声明外,均采用 CC BY-NC-SA 4.0 许可协议。转载请注明来自 徐年の博客!









