二叉树展开为链表
力扣 114. 二叉树展开为链表
题目说明
给你二叉树的根结点 root ,请你将它展开为一个单链表:
展开后的单链表应该同样使用 TreeNode ,其中 right 子指针指向链表中下一个结点,而左子指针始终为 null 。
展开后的单链表应该与二叉树 先序遍历 顺序相同。
提示:
- 树中结点数在范围
[0, 2000]内 -100 <= Node.val <= 100
示例
示例 1:
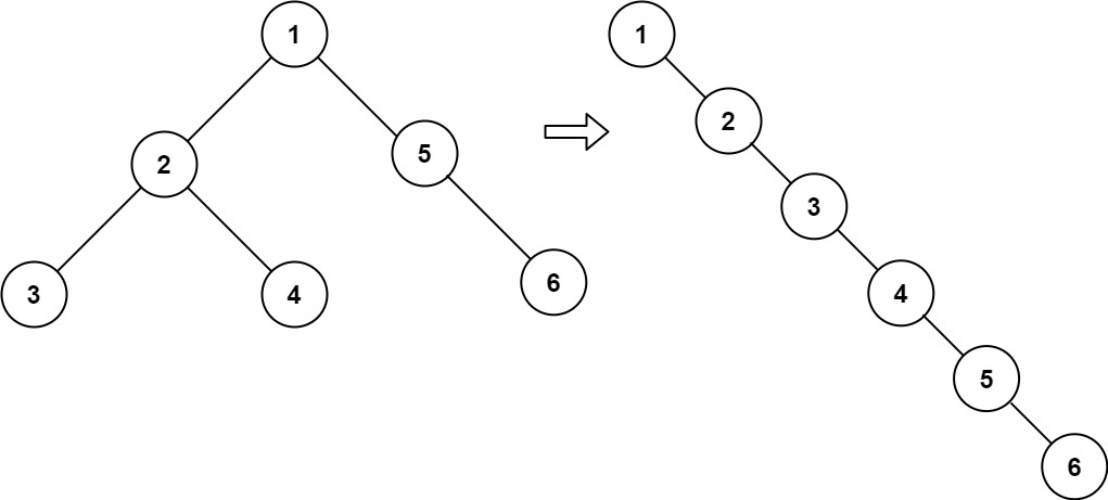
1 | 输入:root = [1,2,5,3,4,null,6] |
示例 2:
1 | 输入:root = [] |
示例 3:
1 | 输入:root = [0] |
笔者理解
此题是一道二叉树算法问题,在力扣题库中被定义为中等题。
解法
当笔者阅读完此题后,发现本题可以采用回溯的思想,前序遍历的顺序是根左右,所以我们选择按照最右、最左、根的顺序倒序回溯操作,让我们来看看具体如何实现的吧。
实现
1 | /** |
时间和空间效率还行,可见此解法还比较适合此题。
总结
本题是今天的一题,难度是为中等,感兴趣的朋友都可以去尝试一下,此题还有其他更多的解法,朋友们可以自己逐一尝试。
本博客所有文章除特别声明外,均采用 CC BY-NC-SA 4.0 许可协议。转载请注明来自 徐年の博客!








