二叉搜索树的范围和
力扣 938. 二叉搜索树的范围和
题目说明
- 给定二叉搜索树的根结点
root,返回值位于范围[low, high]之间的所有结点的值的和。
- 提示:
- 树中节点数目在范围
[1, 2 * 104]内 1 <= Node.val <= 1051 <= low <= high <= 105- 所有
Node.val互不相同
- 树中节点数目在范围
示例
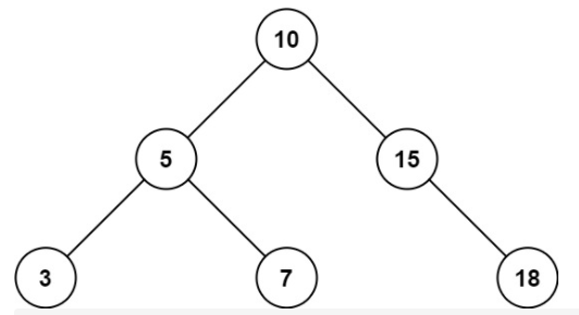
例1
1 | 输入:root = [10,5,15,3,7,null,18], low = 7, high = 15 |
例2
1 | 输入:root = [10,5,15,3,7,13,18,1,null,6], low = 6, high = 10 |
笔者理解
此题是一道二叉搜索树问题,在力扣题库中被定义为简单题。
解法
当笔者阅读完此题后,发现此题直接对二叉搜索树进行中序遍历求解即可,让我们来看看具体如何实现的吧。
实现
1 | /** |
时间和空间效率都还行,可见此解法还比较适合此题;
总结
本题是今天的每日一题,难度是为简单,感兴趣的朋友都可以去尝试一下,此题还有其他更多的解法,朋友们可以自己逐一尝试。
本博客所有文章除特别声明外,均采用 CC BY-NC-SA 4.0 许可协议。转载请注明来自 徐年の博客!










