递增顺序搜索树
力扣 897. 递增顺序搜索树
题目说明
- 给你一棵二叉搜索树,请你 按中序遍历 将其重新排列为一棵递增顺序搜索树,使树中最左边的节点成为树的根节点,并且每个节点没有左子节点,只有一个右子节点。
- 提示:
- 树中节点数的取值范围是
[1, 100] 0 <= Node.val <= 1000
- 树中节点数的取值范围是
示例
例1
1 | 输入:root = [5,3,6,2,4,null,8,1,null,null,null,7,9] |
例2
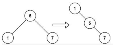
1 | 输入:root = [5,1,7] |
笔者理解
此题是一道二叉搜索树问题,在力扣题库中被定义为简单题。
解法
当笔者阅读完此题后,发现此题直接对二叉搜索树进行中序遍历求解即可,让我们来看看具体如何实现的吧。
实现
1 | /** |
时间和空间效率都还行,可见此解法还比较适合此题;
总结
本题是今天的每日一题,难度是为简单,感兴趣的朋友都可以去尝试一下,此题还有其他更多的解法,朋友们可以自己逐一尝试。
本博客所有文章除特别声明外,均采用 CC BY-NC-SA 4.0 许可协议。转载请注明来自 徐年の博客!










