二叉搜索树节点最小距离
力扣 783. 二叉搜索树节点最小距离
题目说明
给你一个二叉搜索树的根节点 root ,返回 树中任意两不同节点值之间的最小差值 。
注意:本题与 530:https://leetcode-cn.com/problems/minimum-absolute-difference-in-bst/ 相同
- 提示:
- 树中节点数目在范围
[2, 100]内 0 <= Node.val <= 105
- 树中节点数目在范围
示例
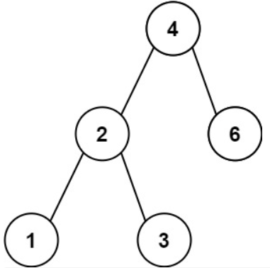
例1
1 | 输入:root = [4,2,6,1,3] |
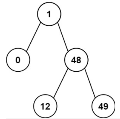
例2
1 | 输入:root = [1,0,48,null,null,12,49] |
笔者理解
此题是一道二叉树算法问题,在力扣题库中被定义为简单题。
解法
当笔者阅读完此题后,发现此题就是针对于二叉搜索树的性质的一次运用,二叉搜索树的中序遍历是有序的,而所有节点的最小差值又必定等于两两相近之数之差,所以我们可以在对二叉搜索树进行中序遍历中将最小差值求出来,让我们来看看具体如何实现的吧。
实现
1 | class Solution { |
时间和空间效率都还行,可见此解法还比较适合此题;
总结
本题是今天的每日一题,难度只有简单,感兴趣的朋友都可以去尝试一下,此题还有其他更多的解法,朋友们可以自己逐一尝试。
本博客所有文章除特别声明外,均采用 CC BY-NC-SA 4.0 许可协议。转载请注明来自 徐年の博客!











