路径总和
力扣 112. 路径总和
题目说明
给你二叉树的根节点 root 和一个表示目标和的整数 targetSum ,判断该树中是否存在 根节点到叶子节点 的路径,这条路径上所有节点值相加等于目标和 targetSum 。
叶子节点 是指没有子节点的节点。
提示:
- 树中节点的数目在范围
[0, 5000]内 -1000 <= Node.val <= 1000-1000 <= targetSum <= 1000
示例:
示例 1:
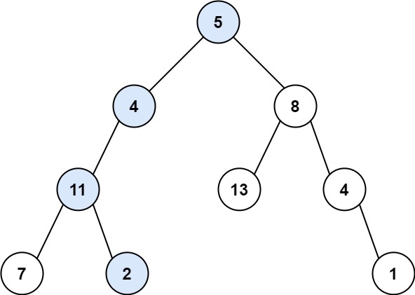
1 | 输入:root = [5,4,8,11,null,13,4,7,2,null,null,null,1], targetSum = 22 |
示例 2:
1 | 输入:root = [1,2,3], targetSum = 5 |
示例 3:
1 | 输入:root = [1,2], targetSum = 0 |
笔者理解
此题是一道二叉树算法问题,在力扣题库中被定义为简单题。
解法
当笔者阅读完此题后,也采用了递归的方式,不过需要注意的是题目要求的是根节点到叶子节点的路径和,所以一定注意计算时要计算到叶子节点,让我们来看看具体如何实现的吧。
实现
1 | /** |
时间和空间效率还行,可见此解法还比较适合此题。
总结
本题是今天的一题,难度是为简单,感兴趣的朋友都可以去尝试一下,此题还有其他更多的解法,朋友们可以自己逐一尝试。
本博客所有文章除特别声明外,均采用 CC BY-NC-SA 4.0 许可协议。转载请注明来自 徐年の博客!









