移除链表元素
力扣 203. 移除链表元素
题目说明
给你一个链表的头节点
head和一个整数val,请你删除链表中所有满足Node.val == val的节点,并返回 新的头节点 。提示:
列表中的节点在范围
[0, 104]内1 <= Node.val <= 500 <= k <= 50
示例
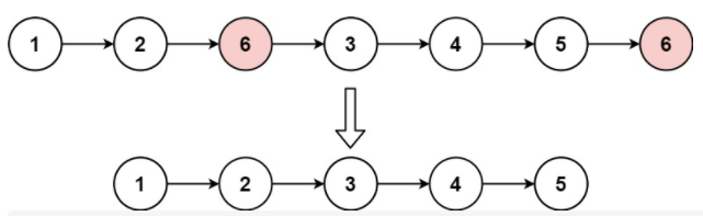
示例 1:
1 | 输入:head = [1,2,6,3,4,5,6], val = 6 |
示例 2:
1 | 输入:head = [], val = 1 |
示例 3:
1 | 输入:head = [7,7,7,7], val = 7 |
笔者理解
此题是一道链表算法问题,在力扣题库中被定义为简单题。
解法
当笔者阅读完此题后,发现此题直接求解即可,这这里,我采用一个临时节点放在head前面,这样可能会方便一点,让我们来看看具体如何实现的吧。
实现
1 | /** |
时间效率和空间效率都还行,可见此解法还比较适合此题;
总结
本题是今天的每日一题,难度是为简单,感兴趣的朋友都可以去尝试一下,此题还有其他更多的解法,朋友们可以自己逐一尝试。
本博客所有文章除特别声明外,均采用 CC BY-NC-SA 4.0 许可协议。转载请注明来自 徐年の博客!










