删除排序链表中的重复元素II
力扣 82. 删除排序链表中的重复元素 II
题目说明
存在一个按升序排列的链表,给你这个链表的头节点 head ,请你删除链表中所有存在数字重复情况的节点,只保留原始链表中 没有重复出现 的数字。
返回同样按升序排列的结果链表。
- 链表中节点数目在范围
[0, 300]内 -
-100 <= Node.val <= 100 - 题目数据保证链表已经按升序排列
示例
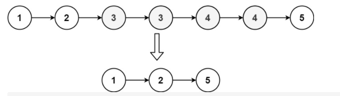
例1
1 | 输入:head = [1,2,3,3,4,4,5] |
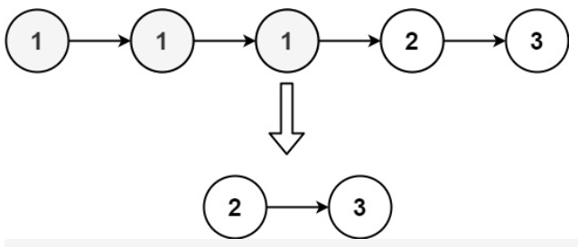
例2
1 | 输入:head = [1,1,1,2,3] |
笔者理解
此题是一道链表算法问题,在力扣题库中被定义为中等题。
解法
当笔者阅读完此题后,发现使用递归操作节点比较合适,让我们来看看具体如何实现的吧。
实现
1 | /** |
时间和空间效率都还行,可见此解法还比较适合此题;
总结
本题是今天的每日一题,难度是为中等,感兴趣的朋友都可以去尝试一下,此题还有其他更多的解法,朋友们可以自己逐一尝试。
本博客所有文章除特别声明外,均采用 CC BY-NC-SA 4.0 许可协议。转载请注明来自 徐年の博客!










