相交链表
力扣 160. 相交链表
题目说明
给你两个单链表的头节点
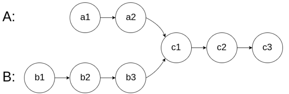
headA和headB,请你找出并返回两个单链表相交的起始节点。如果两个链表没有交点,返回null。图示两个链表在节点
c1开始相交:题目数据 保证 整个链式结构中不存在环。
注意,函数返回结果后,链表必须 保持其原始结构 。
提示:
listA中节点数目为mlistB中节点数目为n0 <= m, n <= 3 * 10^41 <= Node.val <= 10^50 <= skipA <= m0 <= skipB <= n如果
listA和listB没有交点,intersectVal为0如果
listA和listB有交点,intersectVal == listA[skipA + 1] == listB[skipB + 1]
示例
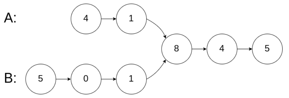
示例 1:
1 | 输入:intersectVal = 8, listA = [4,1,8,4,5], listB = [5,0,1,8,4,5], skipA = 2, skipB = 3 |
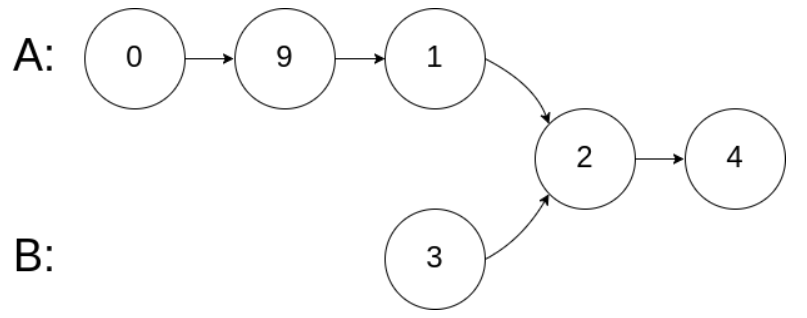
示例 2:
1 | 输入:intersectVal = 2, listA = [0,9,1,2,4], listB = [3,2,4], skipA = 3, skipB = 1 |
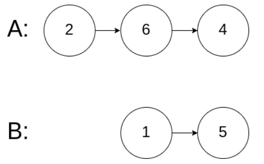
示例 3:
1 | 输入:intersectVal = 0, listA = [2,6,4], listB = [1,5], skipA = 3, skipB = 2 |
笔者理解
此题是一道链表算法问题,在力扣题库中被定义为简单题。
解法
当笔者阅读完此题后,发现此题比较巧妙,其实我们只需要知道相交节点的位置在何处就很好求了,让我们来看看具体如何实现的吧。
实现
1 | /** |
时间效率和空间效率都还行,可见此解法还比较适合此题;
总结
本题是今天的每日一题,难度是为简单,感兴趣的朋友都可以去尝试一下,此题还有其他更多的解法,朋友们可以自己逐一尝试。
本博客所有文章除特别声明外,均采用 CC BY-NC-SA 4.0 许可协议。转载请注明来自 徐年の博客!













